防爆知識您當前位置:河南省南洋防爆電機有限公司 >> 新聞資訊 >> 防爆知識 >> 瀏覽相關資訊
發布日期:2021年04月17日 信息來源:/ 點擊數:
防爆增安型電機即防爆領域簡稱的“e”型電機(這里指低壓電機,額定電壓660V以下);防爆無火花型電機簡稱“n”型電機。在多年的防爆審查、檢驗中發現有很多制造、使用單位對兩種防爆電機的防爆原理不是很了解,有的使用單位竟將防爆無火花電機當作防爆增安型電機用在防爆1區危險場所造成了非常嚴重的不安全隱患。下面就將兩種防爆電機的防爆原理、設計要點、檢驗方法及兩者的差異詳細介紹一下。

1 “e”型防爆
電氣設備的一種防爆型式,即對電氣設備采取一些附加措施,以提高其安全程度,防止在正常運行或規定的異常條件下產生危險溫度、電弧和火花的可能性。
2 tE時間
交流轉子或定子繞組在最高環境溫度下達到額定運行溫度后,從開始通過啟動電流IA時起直至溫度上升到極限溫度所需的時間(單位:s) 。
3 啟動電流比IA/IN
IA/IN初始啟動電流IA與額定電流IN之比。
4 “n”型防爆
電氣設備的一種防爆型式,這種型式的電氣設備, 在正常運行時和本部規定的一些異常條件下,不能點燃周圍爆炸性氣體環境。
1 “e”型電機的防爆原理
對于在正常運行時不產生電弧、火花和危險高溫的電機,如果在其結構上再采取一些機械的、電氣的和熱的附加保護措施,盡力使電機在正常運行或認可的過載條件下不發生電弧、火花和過熱現象,就可進一步提高設備的安全性和可靠性。因此這種電機在正常運行時就沒有引燃源,而可用于爆炸危險環境。這就是增安型電機的防爆原理,同時也是它的名稱的來源。
2 “e”型電機的設計要點
2. 1電氣方面的要求
(1)加強繞組絕緣介電強度,繞組匝間、相間和對機殼的絕緣介電強度要在普通電機的試驗電壓基礎上提高10%
(2)繞組導線須采用規定的至少包覆兩層絕緣,只有瓷釉可以是一層絕緣漆包線,而且導線公稱直徑不得小于0. 25mm。
(3)繞組應采用沉浸法、滴注法或真空加壓法浸漬,要保證導線之間空隙填實。采用含有溶劑的浸漬劑時必須至少進行兩次浸漬和干燥過程。
(4)固體絕緣材料應采用吸潮性小、耐電弧性能好、不燃或難燃的材料,而且在高于電機連續運行溫度至少20℃下(但不低于80℃)仍具有良好的機械性能。
(5)不同電位的導電零件之間的電器間隙和爬電距離大于普通電機的規定值,應符合GB3836. 3 -2010 的規定要求。
2.2 機械方面的要求
(1)引入電纜或導線的連接要保證導線連接牢固、防止松動、擰轉(如采用彈簧墊圈)接線端子能承受連接件扭轉試驗;使用鋁導線時,采用銅鋁過度接頭。
(2)內部導線避免直接采用錫鋁焊料焊接,必須先用機械連接后再用錫焊;或采用銀焊、銅焊或擠壓連接。
(3)轉子導條和端環不是壓鑄成一體時,應采用硬釬焊或熔焊;為防止啟動時導條和轉子鐵芯之間產生火花,可采用壓力鑄鋁法或對單根導條采用附加槽襯、加槽楔等嵌緊措施。
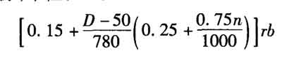
(4)增大電機定、轉子間的氣隙,以減少轉子掃膛的可能性。按GB3836.3 -2010中規定最小徑向單邊氣隙定子和轉子之間的最小徑向單邊氣隙(mm)在旋轉電機靜止時,不應小于下列公式計算的值:最小徑向氣隙,單位:mm。

式中:。D一轉子直徑,單位:mm,其在最小徑向氣 隙公式中的最小值取75,最大值取750 ;n一最大額定轉速r/min,最小值取1000 ; r一按下列公式計算,最小值取1.0。

(5)電機中絕緣帶電部件的外殼防護等級不低于 IP44 ;裸露帶電部件的外殼防護等級(如接線盒)不低于IP54的要求。如安裝在清潔室內并有專人經常檢查的電機,外殼防護等級允許降低要求,但接線盒和裸露帶電部件除外。
(6)電機風扇、風扇罩、隔板須有足夠機械強度, 保證可靠固定,并且相互間距符合規定要求,不得相互 碰撞或摩擦而產生火花。考慮設計公差,內、外風扇、 風扇罩、通風孔擋板和它們的緊固件之間的距離應至 少為風扇最大直徑的1/100,但不必大于5mm。在任 何情況下,該間距不應小于1mm。如果為控制尺寸的同心度和尺寸的穩定性,有關零件經機加工后,間隙可 減少至1mm。
(7)電纜引入口要密封嚴密,并須防止電纜受力拔脫。
2.3 熱(溫度)方面的要求
(1)電機中凡可能與爆炸性混合物接觸的零部件表面的極限溫度不得超過規定值。
(2)增安型電機正常運行時絕緣繞組的允許溫升,應比相應的普通電機的允許溫升降低不少于 10℃,這樣一方面提高其安全程度,同時延長繞組壽命。
(3)增安型電機轉子在堵轉時間tE內,電機絕緣 繞組的極限溫度不得超過規定值。tE時間一般可以通過試驗確定,對于大于75kW的電機,允許用計算法求得。
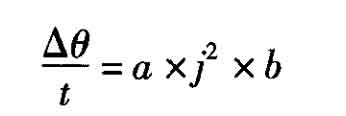
電動機堵轉時,定子繞組的溫升△θ,與時間t的比可按下列公式計算:

式中:j是啟動電流密度,單位A/mm2 ;
a是常數, (對銅繞組,a=0. 0065)

如果采用電流保護裝置防止超過極限溫度, tE時間的長短應當電機被堵轉時,電流保護裝置能夠在tE時間結束之前使電機斷開電源。通常,如果電動機的tE時間大于圖中作為啟動電流比IA/IN函數關系確定的tE時間最小值,則這些可滿足上述要求。如果電動機的tE時間小于圖中的規定值,則采用合適的過載保護裝置并通過試驗證明其功能有效后才允許使用。此裝置須在電動機銘牌上注明。
tE值一般應大于10s,同時還要求tE時間應不小于轉子堵轉時過電流延時保護裝置切斷電機電源所需的時間。
在確定tE時間中,要注意定子繞組的tE1時間和轉子繞組的tE2時間是不同的,應取其中較小值作為電機的tE時間。

圖1電動機tE時間最小值與啟動電流比IA/IN的關系
tE值和啟動電流比IA/IN均應在銘牌上標明,以便用戶選用保護裝置。
采用過電流延時保護裝置的電機一般只允許用于輕載啟動和不頻繁啟動的連續工作狀態。對于啟動困難(即啟動時間超過1.7倍tE)或頻繁啟動的電機,須采用特殊保護裝置。
1“n”型電機的防爆原理
這種型式的防爆電機,在正常運行時和規定的一些異常條件下,不能點燃周圍爆炸性氣體環境。所謂 “正常運行和規定的一些異常條件下”是指電機的電氣性能和機械性能符合設計規范要求,并在制造商規定的范圍內使用。
“n”型電機是一種用于地面工廠2區危險場所的防爆電機。對于2區爆炸危險場所,是指不太可能產生爆炸性氣體混合物,即使產生也只能短時存在的場所。另外,對于“n”型電機,正如前面所述,是一種正常運行時不會產生火花,也不太可能產生引起點燃故障的電機。綜合起來看,一是場所不太可能出現危險, 二是電機不太可能形成點燃源,兩者同時發生并相遇的機會就很小,這就容易達到我們所能接受的安全水平。為了有一個定量的概念,我們就兩者相遇概率作一個粗略的估算。根據德國、日本、澳大利亞等國的有關資料介紹,在2區爆炸危險場所中,每年出現爆炸性混合物的時間不大于10h(一年按8000h計),亦即爆 炸性混合物出現的概率為1/800;假設電機每小時起動1次,每次需2s,則lh內可能產生火花的概率為 1*2/3600=1/1800。兩者相遇的概率為(1/800)*(1/1800)=7*10-7,可見相遇概率極小,達到我們所能接受的安全水平。這就是“n”型電機用于2區爆炸危險場所的原因。
2 “n”型電機的設計要點
無火花型電機的設計與增安型電機相比,除對絕緣介電強度試驗電壓、tE時間不像增安型電機那樣做出專門規定外,其他方面與增安型電機的設計要求一樣。
根據國外資料報道,大型組合結構的無火花型電機曾因電機的雜散磁場產生的環流電流經過機殼上下 對接部分的接縫處時產生的電火花引燃周圍爆炸性混合物。1985年末在英國近海鉆探船上發生過兩起因此種原因而引起的爆炸事故,由于這兩起爆炸事故引起了重視,經過研究提出了一些防護措施。這些措施包括加強緊固防止松動;在未焊接在一起的相鄰金屬件之間加金屬片,以便提供連續的通路;螺栓等緊固件的尺寸和數量必須合適,使之能承受環流而防止出現 過高的表面溫度;采用金屬片的地方,安裝用的凸臺應焊在板上使接觸電阻減至最小;一定要采取措施防止 緊固件逐漸松動;金屬片應跨接電流通路中各個接縫; 金屬片應對稱布置;在軸承室及附近配金屬片時,一定要避免造成軸承絕緣短路。
前面已將“e”型電機和“n”型電機的防爆原理及設計要點做了詳細介紹,總結出幾種防爆電機的主要差異:
(1)絕緣介電強度試驗電壓:增安型電機比無火花型電機要求的高。
(2)導線繞組溫升:增安型電機有tE時間要求。
(3)使用環境:增安型電機可以用在1區危險場所(這里指的是低壓電機,額定電壓660V以下);無火花型電機只能用在2區危險場所。
隨著石油、化工、煤炭、冶金等工業的迅速發展,防止事故爆炸的發生已成為十分突出的問題。為了解決這個問題就需要我們采取的預防措施合理、可靠、經濟。首先了解爆炸性氣體環境危險區域,環境中出現的爆炸性氣體的類型、溫度組別,在相應的區域和爆炸性氣體環境中使用哪種防爆型式的電氣設備是安全可靠的,只有這樣才能有的放矢,設計、生產出即安全可靠又經濟實用的防爆電氣設備。
了解更多知識請訪問南洋防爆電機官網:m.zgenhuixs.com 阿里巴巴旺鋪:https://nyfbdj168.1688.com/ 手機:15518435289 電話:0394-8687286 劉經理
相關閱讀:
上一篇:防爆電機振動現象的解決實例 下一篇:查看防爆電機銘牌實例